微积分期末复习
第三章:不定积分与定积分
不定积分
常见不定积分公式:
积分方法:
-
换元积分
-
分部积分
分部积分法之列表积分法 -
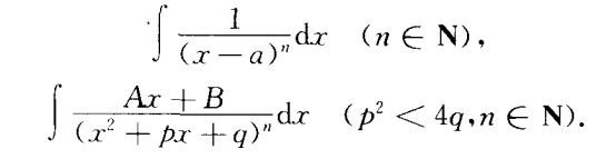
有理函数的积分
任一有理函数可分解为一多项式和若干分式的和
-
简单无理函数积分
-
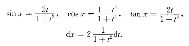
三角函数有理式的积分
当$tan\frac{x}{2}=t$时
定积分
定积分的主要性质
-
保向性
若$f(x),g(x)$可积,$f(x)\leq g(x),\forall x\in[a,b],f(x)\neq g(x)$
$$ \int_{a}^{b}f(x)dx\leq\int_a^bg(x)dx$$ -
可加性
$$ \int_{a}^{b}f(x)dx=\int_a^cf(x)dx+\int_c^bf(x)dx$$ -
积分中值定理
若$f(x),g(x)$皆在$[a,b]$上连续,$g(x)$定号(均大于等于0,或均小于等于0),则存在 $\xi\in(a,b)$,使得
$$ \int_{a}^{b}f(x)g(x)dx=f(\xi)\int_a^bg(x)dx$$
函数的平均值
$$\overline{y}=\frac{1}{b-a}\int_a^bf(x)dx $$
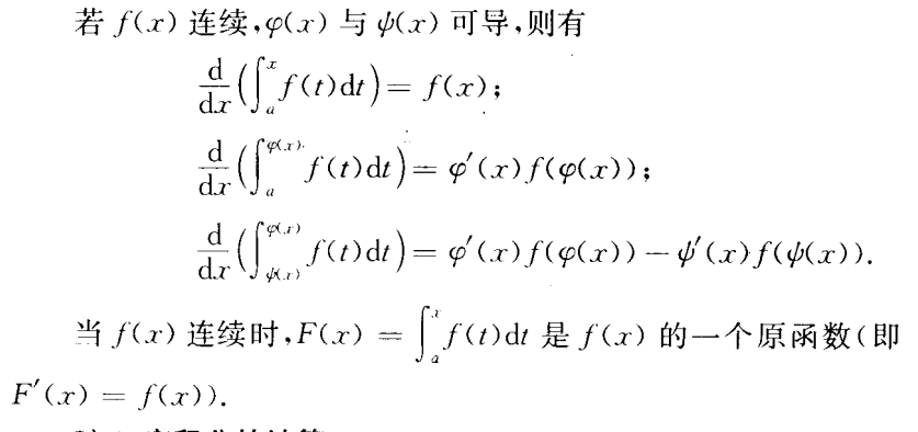
变限的积分
定积分计算
- 牛顿莱布尼茨公式
- 换元积分
- 分部积分
- 定积分性质(函数奇偶性、周期函数)
第四章:定积分的应用与广义积分
定积分的应用
平面图形的面积
特殊立体的体积
平面曲线的弧长
积分号右边部分即为对应弧微分
旋转面的面积(结合弧微分)
广义积分
两类广义积分的概念
两类广义积分的计算
- 广义牛顿-莱布尼兹公式
- 广义换元积分
- 广义分部积分
Euler积分—B函数与Γ函数
了解即可
第五章:空间解析几何
空间直角坐标系的相关概念
向量的基本概念
向量运算性质
空间平面的方程
- 点法式
- 一般式
- 截距式
- 三点式
空间直线的方程
-
点向式(标准式)
方向向量(l,m,n),过点(x0,y0,z0)
$\frac{x-x_0}{l}=\frac{y-y_0}{m}=\frac{z-z_0}{n}$
-
参数式
$x=x_0+lt$ ……
-
两点式
$\frac{x-x_1}{x_2-x_1}=\frac{y-y_1}{y_2-y_1}=\frac{z-z_1}{z_2-z_1}$
-
一般式
两平面方程联立
平面与平面的关系
直线与直线的关系
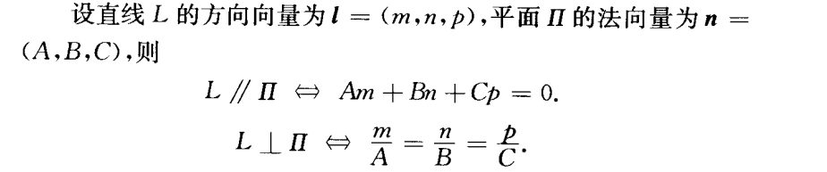
直线与平面的关系
这里和前面的平行垂直不一样
点到平面(直线)的距离与异面直线的距离
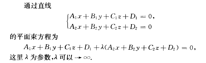
平面束
曲面方程
二次曲面的标准方程
空间曲线方程
评论


































